Test Description
The number below refer to the step number on the diagnostic table:
5
Suspension components that are not operating properly may cause a disturbance to the vehicle during application of the brake system.
6
Steering components that are not operating correctly may cause a disturbance to the vehicle during application of the brake system.
Braking Action Uneven - Pulls to One Side



BRAKING ACTION UNEVEN - FRONT TO REAR
Test Description
The number below refers to the step number on the diagnostic table:
5
Suspension components that are not operating properly may cause a disturbance to the vehicle during application of the brake system.
Braking Action Uneven - Front to Rear



.jpg)
BRAKE PEDAL EXCESSIVE TRAVEL
Brake Pedal Excessive Travel
.jpg)
.jpg)
.jpg)
.jpg)
BRAKE PEDAL EXCESSIVE EFFORT
Brake Pedal Excessive Effort



BRAKES DRAG
Brakes Drag




BRAKE SYSTEM SLOW RELEASE
Brake System Slow Release

.jpg)
BRAKE FLUID LOSS
Brake Fluid Loss

.jpg)
DISC BRAKE SYSTEM DIAGNOSIS
Test Description
The numbers below refer to the step numbers on the diagnostic table:
9
Lubricant leaks from non-brake system components may come in contact with and contaminate brake system components.
10
Lubricant leaks from non-brake system components may come in contact with and contaminate brake system components.
12
Disc brake rotor shields/backing plates that come in contact with disc brake rotors may cause brake system noise.
15
Disc brake rotor thickness variation that exceeds the maximum acceptable level can cause brake pulsation.
19
Disc brake rotor thickness variation that exceeds the maximum acceptable level can cause brake pulsation.
22
Disc brake rotor assembled lateral runout (LRO) that exceeds the maximum acceptable level can lead to thickness variation.
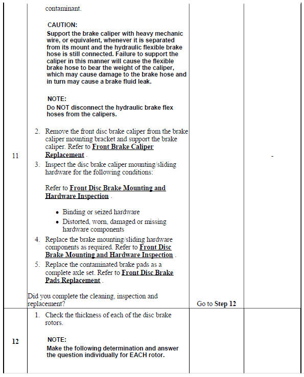
Disc Brake System Diagnosis
.jpg)

.jpg)
.jpg)
.jpg)
.jpg)
.jpg)
DRUM BRAKE SYSTEM DIAGNOSIS
Test Description
The number below refers to the step number on the diagnostic table:
18
Drum brake backing plates that come in contact with brake drums may cause brake system noise.
Drum Brake System Diagnosis





HYDRAULIC BRAKE SYSTEM DIAGNOSIS
Hydraulic Brake System Diagnosis






BRAKE ASSIST SYSTEM DIAGNOSIS
Brake Assist System Diagnosis






Brake system vehicle road test
Brake pedal travel measurement and inspection
Brake system external leak inspection
Fuel injector replacement
Traction control/stability control indicator malfunction (WITH C67/CJ2)